2021广东省本科舞蹈类统考投档情况(2021广东省本科舞蹈类统考投档情况如何)

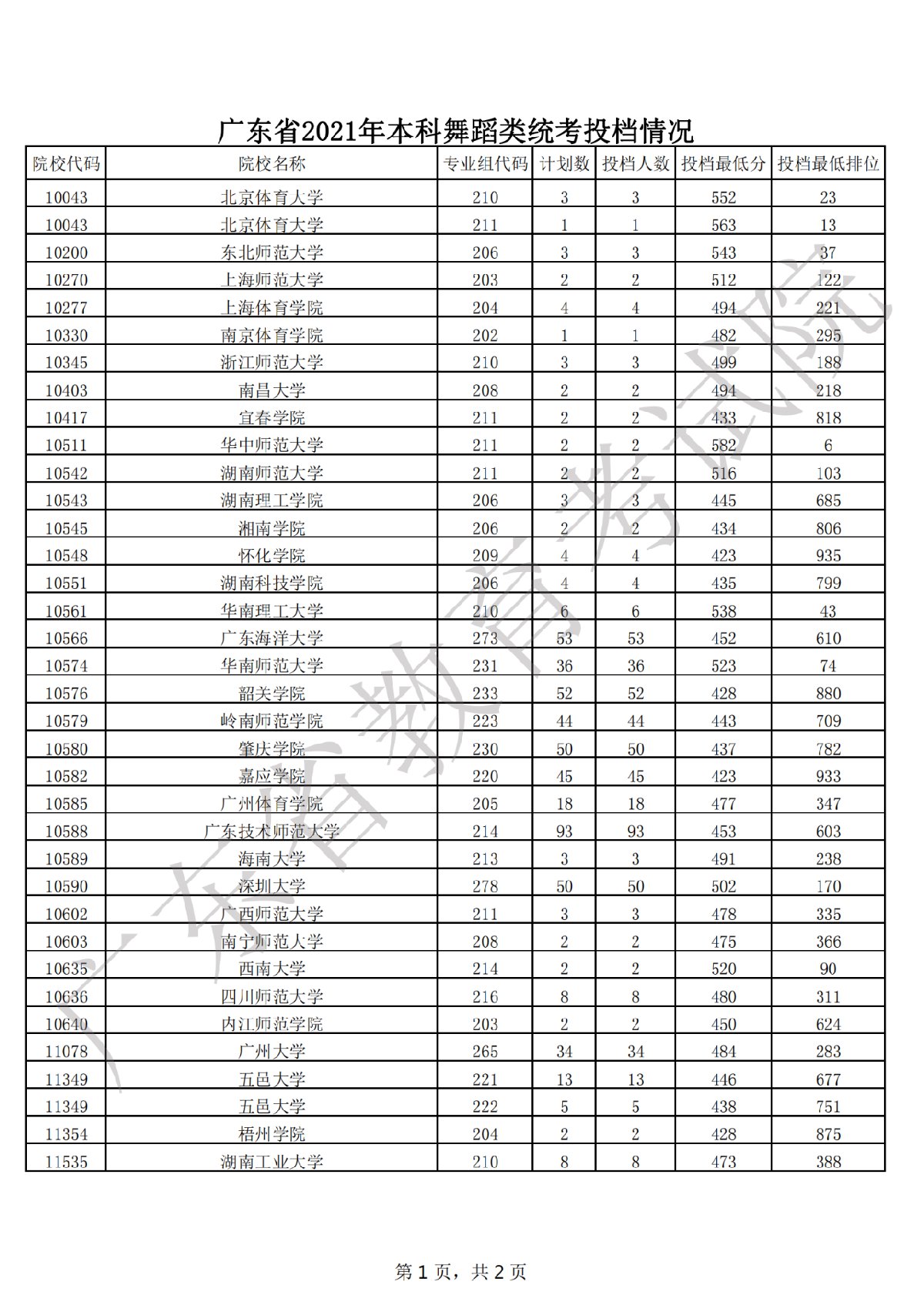
广东省2021年本科舞蹈类统考投档情况
拓展:关于投档分
投档分是投档分数线的简称,投档分数线又被称为院校调档分数线,其第一个特点是同一批录取的院校中,它们的投档分数线是不一致的,高低由各自的生源情况决定,生源好的高校投档分数线可能高出控制分数线很多,生源不好的则低一些,但原则上它不能低于同批录取控制分数线。
同一所院校不同志愿的投档分数线可能也不同,主要是指那些第一志愿投档录取不满额的院校。

广东省2021年本科舞蹈类统考投档情况
拓展:关于投档分
投档分是投档分数线的简称,投档分数线又被称为院校调档分数线,其第一个特点是同一批录取的院校中,它们的投档分数线是不一致的,高低由各自的生源情况决定,生源好的高校投档分数线可能高出控制分数线很多,生源不好的则低一些,但原则上它不能低于同批录取控制分数线。
同一所院校不同志愿的投档分数线可能也不同,主要是指那些第一志愿投档录取不满额的院校。